Зміст

Трапеція

a - довжина верхньої основи;

b - довжина нижньої основи;

c - довжина першої бічної сторони;

d - довжина другої бічної сторони;

Периметр

Площа:

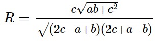
Радіус кола, описаного навколо рівнобічної трапеції:

Зміст